biplex

Hilfe

Index

Datenbanken

<    >

biplex schliessen

Iodacetat

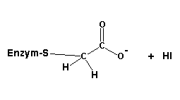
Iodacetat ist das Anion der Iodessigsäure. Iodessigsäure alkyliert irreversibel die SH-Gruppe von Proteinen (z.B. Glycerinaldehydphosphat-Dehydrogenase). Es kann dazu verwendet werden, Enzyme mit SH an der aktiven Stelle irreversibel zu inaktivieren.

   

Thioester der 3-Phosphoglycerinsäure mit der SH-Gruppe des Enzyms, entstanden durch Oxidation von Glycerinaldehydphosphat. Phosphorolyse des energiereichen Thioesters mit anorganischem Phosphat liefert das ebenfalls energiereiche Produkt 3-Phopshoglyceroyl-phosphat (ein gemischtes Säureanhydrid).


Iodacetat

 

Weitere Namen: Salz der Iodessigsäure