|
Suchen Sie weitergehende Informationen? |
Cellulose
Cellulose ist ein wasserunlösliches Polysaccharid, welches aus 500 - 5000 unverzweigten Glucose-Einheiten aufgebaut ist. Es ist der Hauptbestandteil der Gerüstsubstanz pflanzlicher Zellwände. Cellulose ist der mengenmässig bedeutendste Naturstoff. Laubbäume und Nadelbäume bestehen zu ungefähr 50% aus Cellulose. Der in Form von Cellulose gebundene Kohlenstoff der Pflanzen entspricht etwa der Hälfte des Kohlendioxids in der Erdatmosphäre.
|
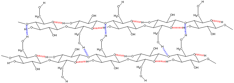
Der Grundbaustein der Cellulose ist Cellobiose, ein Disaccharid in welchem zwei Glucosemoleküle über eine beta-1-4-glykosidische Bindung verknüpft sind. Intramolekulare Wasserstoffbrücken (rot) zwischen den 3-Hydroxylgruppen und den Ringsauerstofffatomen benachbarter Glucosereste verhindern die freie Drehbarkeit der glykosidischen Bindugen, wodurch das Makromolekül in linearer Konformation gehalten wird. Intermolekulare Wasserstoffbrücken (blau) zwischen den 6-Hydroxylgruppen und den Sauerstofffbrücken der glykosidischen Bindugen paralleler Ketten führt zur Bildung von Mikrofibrillen aus 60 bis 70 Celluloseketten, welche für die pflanzlichen Zellwände charakteristisch sind. |
